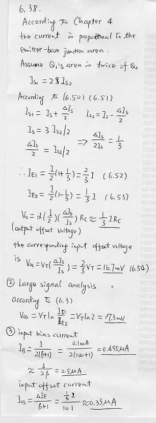
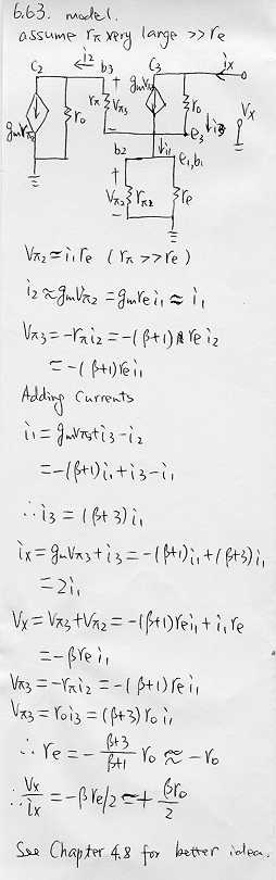
ENSC325 HW1 SOLUTION